ايتولعان ءجۇنىسحان
ايتولعان ءجۇنىسحان«Egemen Qazaqstan»
510 ماتەريال تابىلدى

جاساندى ينتەللەكت • 04 شىلدە, 2025

جي-گە بايلانعان جۇيە

«Reuters» اگەنتتىگىنىڭ زەرتتەۋىنشە, 2024 جىلى الەمدە جاريالانعان جاڭالىقتىڭ 8,5 ميلليونىن جاساندى ينتەللەكت جازعان. ال ادامداردىڭ 72 پايىزى تەك الگوريتم ۇسىنعان كونتەنتتى تۇتىنادى ەكەن. بۇل – مەدياداعى ادامنىڭ ءرولىن الگوريتمدەردىڭ بىرتىندەپ الماستىرىپ جاتقانىن كورسەتەدى. الايدا ماسەلە تەك اقپاراتپەن شەكتەلمەيدى. بۇگىندە جي دياگنوز قويادى, نەسيە بەرۋ-بەرمەۋدى شەشەدى, كولىكتى ءوزى جۇرگىزەدى, ءتىپتى ادام بەينەسىن ءتىرىلتىپ, ونىمەن سويلەسۋگە مۇمكىندىك بەرەدى. ياعني جاساندى ينتەللەكت كومەكشى قۇرال عانا ەمەس, ادام ورنىنا شەشىم قابىلدايتىن جۇيەگە اينالىپ بارادى.

عىلىم • 04 شىلدە, 2025

عىلىم سالاسىندا تۇيتكىل كوپ

عىلىم – ەلدىڭ ينتەللەكتۋالدىق قۋاتىن ايقىندايتىن باستى سالا. كەيىنگى جىلدارى عىلىمدى قولداۋ باعىتىندا بىرقاتار قۇرىلىمدىق قادامدار جاسالىپ كەلەدى. الايدا سالانىڭ دامۋىنا كەدەرگى كەلتىرىپ تۇرعان جۇيەلىك ماسەلەلەر دە جوق ەمەس. قاعازباستىلىق, باسقارۋ ساپاسى, مامان تاپشىلىعى, قۇرالداردىڭ جەتىسپەۋى مەن شەشىم قابىلداۋ ۇدەرىستەرىنىڭ اشىق ەمەستىگى – عالىمداردى الاڭداتاتىن وزەكتى جايتتاردىڭ قاتارىندا.

عالام عاجاپتارى • 04 شىلدە, 2025

بۇرىن-سوڭدى بولماعان وسىمدىك

اقش-تىڭ يۋتا شتاتىندا عا­لىمدار ەشبىر تۇرگە جاتپايتىن ەجەلگى وسىمدىكتىڭ تاسقا اينالعان قال­دىق­تارىن تاپتى.

عالام عاجاپتارى • 04 شىلدە, 2025

عارىشتاعى جي دەرەكتەر ورتالىعى

قىتاي عارىشتا جاساندى ينتەللەكت ينفراقۇرىلىمىن سالۋدى كوزدەپ وتىر.

عالام عاجاپتارى • 04 شىلدە, 2025

ادام دنق-سىن قۇراستىرادى

كەمبريدج ۋنيۆەرسيتەتىنىڭ عالىم­دارى ادامنىڭ دنق-سىن قولدان قۇراس­تىرۋدى باستادى. بۇل – تاريحتا العاش رەت جۇزەگە اسىپ وتىرعان تاجىريبە.

قوعام • 03 شىلدە, 2025

ستۋدەنتتەر جازعى دەمالىسىن قالاي وتكىزەدى؟

جازعى دەمالىس – وقۋشىلار مەن ستۋدەنتتەردىڭ اسىعا كۇتەتىن ءساتى. بۇل دەمالىپ, جاڭا وقۋ جىلىنا كۇش جينايتىن ۋاقىت پا, الدە ءوزىڭدى دامىتۋعا مۇمكىندىك پە؟ ستۋدەنتتەر جازعى دەمالىسىن قالاي وتكىزەدى؟

عالام عاجاپتارى • 03 شىلدە, 2025

جەلمەن جۇرەتىن پويىز

نيدەرلاند 2017 جىلدان بەرى جەل ەنەرگياسىنا كوشكەن. پويىزدار ديزەلمەن نە كومىرمەن ەمەس جەلمەن جۇرەدى.

عالام عاجاپتارى • 03 شىلدە, 2025

ەڭ ۇزىن شەكارا

الەمدەگى ەڭ ۇزىن قۇرلىقتىق شەكارا – اقش پەن كانادا اراسىندا ورنالاسقان. بۇل شەكارانىڭ جالپى ۇزىندىعى 8 893 شاقىرىمعا سوزىلىپ جاتىر.

عالام عاجاپتارى • 03 شىلدە, 2025

دومەننەن تابىس تاباتىن ەل

تىنىق مۇحيتىندا ورنالاسقان تۋۆالۋ مەملەكەتىندە 12 حالىق ءومىر سۇرەدى. الايدا ەلدە ەشقانداي قازبا بايلىق جوق. بىراق قازىنانى تولتىرۋدىڭ جولىن تاپقان.

عالام عاجاپتارى • 02 شىلدە, 2025

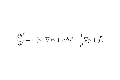
ەڭ قيىن ەسەپ شەشىمىن تابادى

«Google DeepMind» كومپانياسى­­نىڭ عالىمدارى الەمدەگى ەڭ قيىن ­ەسەپ­تەردىڭ ءبىرى ناۆە-ستوكس تەڭ­­دەۋىن شەشۋگە جاقىن قالدى. بۇل ەسەپ – ارنايى تىزىمگە ەنگەن مىڭ­جىلدىق ماسە­لەلەرىنىڭ ءبىرى. ونى شەشكەن ادامعا 1 ميلليون دوللار سىياقى بەرىلەدى.

ياندەكس.مەتريكا